Abstract
Background: A major complication in severe hemophilia A is the formation of persistent neutralizing antibodies against factor(F) VIII, inhibitors, which render subsequent treatment ineffective. The presence of non-neutralizing anti-FVIII IgG antibodies (NNAs) before FVIII treatment initiation has been associated with subsequent development of inhibitors in previously untreated patients (PUPs) with severe hemophilia A in the frame of the SIPPET cohort (Cannavò A et al, Blood 2017).
Up to 30% of PUPs develop neutralizing antibodies (inhibitors) within the first 20-30 exposure days (Eds) to FVIII concentrates, of which one third disappear spontaneously over a course of six months due to endogenous immune tolerance, and two thirds progress into persistent inhibitors that require immunotolerance therapy. The role of each anti-FVIII IgG subclasses (e.g., IgG1, IgG2, IgG3 and IgG4) and their possible prediction of persistent anti-FVIII inhibitors is not known yet.
Aims: To investigate the predictive value of anti-FVIII IgG subclasses on persistence of the anti-FVIII inhibitor in PUPs with severe hemophilia A within 60 days from the first development of anti-FVIII inhibitor.
Methods: From the 76 patients who developed inhibitors in the SIPPET cohort (Peyvandi et al., N Eng J Med 2016), anti-FVIII IgG subclasses were measured by an ELISA assay in 43 patients according to plasma availability (median age 18 months [IQR: 12-29]), median inhibitor titer: 16 Bethesda IU [IQR: 5-135]).
For each IgG subclass, a cutoff of positivity was defined as the mean OD absorbance value + 5 SD, obtained by analyzing the plasma of 150 normal individuals.
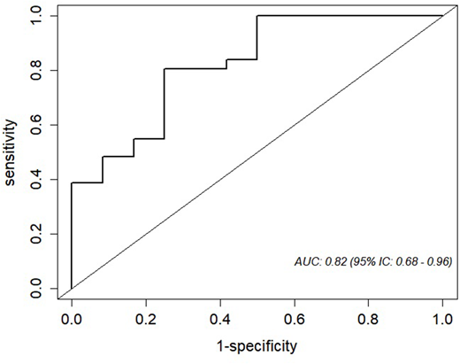
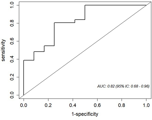
The association of number of anti-FVIII IgG subclasses and other possible risk factors (age at first treatment, type of FVIII product, number of EDs and type of F8 gene variation) with inhibitor persistence was first estimated by univariate analysis. Predictive associations were assessed by logistic regression, in which inhibitor persistence was the outcome, and number of anti-FVIII IgG subclasses (1= only one [always IgG1], 2 subclasses, 3 subclasses or all 4 subclasses) and age at first treatment with FVIII concentrates were the putative predictors that showed an association with inhibitor persistence. Other risk factors, such as type of FVIII product, number of EDs and type of F8 gene variation, were not associated with inhibitor persistence at univariate analysis. Relative risks (RR) and 95% confidence intervals (95% CI) were recalculated from odds ratios according to Zhang (JAMA, 1998). The predictive capacity was expressed as the area under the receiving operative characteristic (ROC) curve (AUC).
Results: Of the 43 patients who developed an inhibitor (31 persistent, 12 transient), 3 had only one IgG subclass (IgG1), 15 two subclasses, 13 three subclasses and 12 were positive for all the four IgG subclasses. The presence of each subclass was associated with an increased risk of inhibitor persistence, both in univariate and multivariate analysis, with relative risks ranging from 1.3 to 1.8. The risk of inhibitor persistence progressively increased with the number of concomitant IgG subclasses. In the model containing also age at first treatment and taking the category with only IgG1 positivity as reference, the RR (95% CI) was 1.7 (0.2 to 2.9) for patients with two IgG subclasses, 2.6 (0.7 to 3.0) for those with three subclasses and 2.8 (1.2 to 3.0) for those with all the four subclasses. The odds of inhibitor persistence increased by 8% for every 1-month increase of age at first treatment (OR 1.08 [0.99 to 1.22]). The AUC of the predictive model was 0.82 (95% CI: 0.68 to 0.96) (Fig 1).
Conclusions: The concomitant presence of more than one anti-FVIII IgG subclass within 60 days from the first development of anti-FVIII inhibitor in patients with severe hemophilia A was associated with an increased risk of persistence of the inhibitor. Age at first treatment also predicted inhibitor persistence. In conclusion, this predictive analysis showed a promising discriminative capability for clinicians to select patients with the highest risk of inhibitor persistence who could benefit from immunotolerance therapy. These results need to be confirmed in other cohorts of PUPs with severe hemophilia A.
Peyvandi:Novo Nordisk: Speakers Bureau; Octapharma US: Honoraria; Novo Nordisk: Speakers Bureau; Shire: Speakers Bureau; Ablynx: Other: Member of Advisory Board, Speakers Bureau; Roche: Speakers Bureau; Grifols: Speakers Bureau; Sobi: Speakers Bureau; Kedrion: Consultancy; Grifols: Speakers Bureau; Octapharma US: Honoraria; Sobi: Speakers Bureau; Grifols: Speakers Bureau; Grifols: Speakers Bureau; Kedrion: Consultancy; Octapharma US: Honoraria; Octapharma US: Honoraria; Kedrion: Consultancy; Ablynx: Other: Member of Advisory Board, Speakers Bureau; Ablynx: Other: Member of Advisory Board, Speakers Bureau; Novo Nordisk: Speakers Bureau; Sobi: Speakers Bureau; Roche: Speakers Bureau; Shire: Speakers Bureau; Sobi: Speakers Bureau; Kedrion: Consultancy; Ablynx: Other: Member of Advisory Board, Speakers Bureau; Shire: Speakers Bureau; Novo Nordisk: Speakers Bureau; Roche: Speakers Bureau; Shire: Speakers Bureau; Grifols: Speakers Bureau; Kedrion: Consultancy; Ablynx: Other: Member of Advisory Board, Speakers Bureau; Shire: Speakers Bureau; Octapharma US: Honoraria; Sobi: Speakers Bureau; Roche: Speakers Bureau; Roche: Speakers Bureau; Novo Nordisk: Speakers Bureau. Palla:Grifols: Other: travel support; Pfizer: Other: travel support. Santagostino:Grifols: Membership on an entity's Board of Directors or advisory committees; Roche: Membership on an entity's Board of Directors or advisory committees; CSL Behring: Membership on an entity's Board of Directors or advisory committees; Octapharma: Membership on an entity's Board of Directors or advisory committees; Novo Nordisk: Membership on an entity's Board of Directors or advisory committees; Bayer: Membership on an entity's Board of Directors or advisory committees; Shire: Membership on an entity's Board of Directors or advisory committees; Kedrion: Membership on an entity's Board of Directors or advisory committees; Bioverativ: Membership on an entity's Board of Directors or advisory committees; Sobi: Membership on an entity's Board of Directors or advisory committees; Pfizer: Membership on an entity's Board of Directors or advisory committees. Young:Novo Nordisk: Consultancy, Honoraria; Bioverativ: Consultancy, Honoraria; Bayer: Consultancy; CSL Behring: Consultancy, Honoraria; Kedrion: Consultancy; Genentech/Roche: Consultancy, Honoraria; Shire: Consultancy, Honoraria. Seth:Shire: Honoraria. Mancuso:Bayer: Consultancy, Membership on an entity's Board of Directors or advisory committees; Novo Nordisk: Consultancy, Membership on an entity's Board of Directors or advisory committees; Shire: Consultancy, Membership on an entity's Board of Directors or advisory committees; Roche: Consultancy, Membership on an entity's Board of Directors or advisory committees; CSL Behring: Consultancy, Membership on an entity's Board of Directors or advisory committees; Kedrion: Consultancy; Pfizer: Consultancy, Membership on an entity's Board of Directors or advisory committees; Biotest: Membership on an entity's Board of Directors or advisory committees; Octapharma: Membership on an entity's Board of Directors or advisory committees. Mahlangu:Sanofi: Research Funding, Speakers Bureau; Roche: Consultancy, Research Funding, Speakers Bureau; LFB: Consultancy; NovoNordisk: Consultancy, Research Funding, Speakers Bureau; CSL Behring: Consultancy, Research Funding, Speakers Bureau; Chugai: Consultancy; Catalyst Biosciences: Consultancy, Research Funding; Biomarin: Research Funding, Speakers Bureau; Biogen: Research Funding, Speakers Bureau; Bayer: Research Funding; Amgen: Consultancy; Alnylam: Consultancy, Research Funding, Speakers Bureau; Shire: Consultancy, Research Funding, Speakers Bureau; Sobi: Research Funding, Speakers Bureau; Spark: Consultancy, Research Funding. Ewing:Hema Biologics: Honoraria; Novo Nordisk: Honoraria; CSL Behring: Honoraria; Grifols: Honoraria; Bayer: Honoraria; Shire: Honoraria; Genentech: Honoraria; Biogen: Research Funding. Male:Bayer: Membership on an entity's Board of Directors or advisory committees, Speakers Bureau; Octapharma: Speakers Bureau; Novo Nordisk: Speakers Bureau; Biotest: Speakers Bureau; Roche: Membership on an entity's Board of Directors or advisory committees, Speakers Bureau; Shire: Speakers Bureau; SOBI: Speakers Bureau; CSL Behring: Membership on an entity's Board of Directors or advisory committees, Research Funding, Speakers Bureau. Majumdar:NIMHD: Research Funding. Manco-Johnson:CSL Behring: Honoraria; Biogentek: Honoraria; Novo Nordisk: Honoraria; Bayer AG: Honoraria, Research Funding; Baxalta, now part of Shire: Honoraria. Mazzucconi:Baxalta-Shire: Consultancy, Speakers Bureau; Bayer: Consultancy, Speakers Bureau; Novartis,: Consultancy, Speakers Bureau; Amgen: Consultancy, Speakers Bureau; Novo Nordisk: Consultancy, Speakers Bureau; CSL Behring: Consultancy, Speakers Bureau. Neme:Shire: Consultancy, Honoraria; Novonordisk: Consultancy, Honoraria; Pfizer: Consultancy, Honoraria; Grifols: Consultancy, Honoraria; CSL Behring: Consultancy, Honoraria. Prezotti:Bayer: Membership on an entity's Board of Directors or advisory committees, Speakers Bureau; Bioverative: Membership on an entity's Board of Directors or advisory committees; Roche: Membership on an entity's Board of Directors or advisory committees, Speakers Bureau; Pfizer: Membership on an entity's Board of Directors or advisory committees, Speakers Bureau; Novo Nordisk: Membership on an entity's Board of Directors or advisory committees, Speakers Bureau; Shire: Membership on an entity's Board of Directors or advisory committees, Speakers Bureau. Mannucci:Kedrion: Membership on an entity's Board of Directors or advisory committees, Speakers Bureau; Grifols: Speakers Bureau; Bayer: Membership on an entity's Board of Directors or advisory committees, Speakers Bureau; Baxalta/Shire: Speakers Bureau; Alexion: Speakers Bureau; Novo Nordisk: Speakers Bureau.
Author notes
Asterisk with author names denotes non-ASH members.

This feature is available to Subscribers Only
Sign In or Create an Account Close Modal